• 15 000 artiklar Över 9 000 artiklar i lager
  • Utleverans samma dag Pris, lagersaldo och weborder direkt här på hemsidan
  • Lager Vi samarbetar med ledande tillverkare
Content image radialtätningar för krävande applikationer

Radialtätningar för krävande applikationer

Radialtätning är en typ av läpptätning vars uppgift är att avtäta en roterande applikation radiellt.

Den är bestående av en eller flera tätningsläppar och för att uppnå god tätningsverkan är en eller flera av läpparna ofta fjäderförspända.
Hur enkelt det än låter så ställer radialtätningen höga krav på sin applikation, från ytfinheter, hårdhet vid tätningsläge till varvtal och typ av media. Felaktig ytfinhet på en axel kan leda till att friktionsvärmen stiger så högt att ett lager skär, liksom en för mjuk axel kan slitas ner i förtid vid tätningsläget.

Våra lagerförda radialtätningar kommer primärt ifrån Schweiziska Dichta. Med sitt breda standardutbud av olika typer av tätningar i breda dimensionsspann så är ledtiderna oftast väldigt korta på standardprodukter. Skulle standard inte göra jobbet i just er applikation så finns möjligheten att skräddarsy lösningar.

Hör av dig till oss så erbjuder vi inte bara radialtätningar av högsta kvalitet utan självklart hjälper vi även till med vårt tekniska kunnande för att du ska kunna optimera din applikation.

 

 

Produktnytt

Tolerans

Husets tolerans är generellt H8, också detta enligt DIN 3760 och rekommendationen är att man monterar radialtätningen mot ett anhåll så man tillser att den sitter i vinkel mot både axel och hus. Annan typ av montering rekommenderas inte, men skulle inga alternativ finnas är det ytterst viktigt att man ändå monterar tätningen i rätt läge i förhållande till axel. Fasningar på både hus och axel är viktiga vid monteringen så att man inte skadar gummit på ryggen och/ eller tätningsläget mot axeln.

Tolerans Radialtätningar Illustration spinner symbol

Smörjning

Husets tolerans är generellt H8, också detta enligt DIN 3760 och rekommendationen är att man monterar radialtätningen mot ett anhåll så man tillser att den sitter i vinkel mot både axel och hus. Annan typ av montering rekommenderas inte, men skulle inga alternativ finnas är det ytterst viktigt att man ändå monterar tätningen i rätt läge i förhållande till axel. Fasningar på både hus och axel är viktiga vid monteringen så att man inte skadar gummit på ryggen och/ eller tätningsläget mot axeln.

Smörjning är en mycket viktig faktor för tätningens funktion och livslängd då hela tätningsförmågan baseras på oljefilmen mellan läpp och axel. Normalt så är filmen mellan 1-3my tjock, lite beroende på viskositet, ytfinhet och tätningens radiella förspänning. Under inbäddningstiden, alltså inkörningen utav tätningen kan ett visst läckage förekomma, detta är innan oljefilmen bildats och tätningsläppen har satt sig. Viktig att tänka på är, att om median har dålig smörjningsförmåga, ex vatten eller blandningar med vatten, så är det viktigt att man använder en radialtätning med extra dammtunga framtill och att man då fyller fickan mellan de båda läpparna med smörjmedel.

radialtätningar smörjning spinner symbol

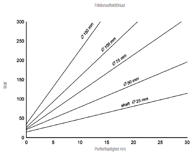
Materialval beroende på rotationshastighet

Sammanfattningsvis: vid val utav radialtätning finns en stor mängd olika faktorer som påverkar vilket material och vilket utförande som bör användas och vilket utförande. Bra att veta är att en normal tätning inte tål högre axiellt tryck mot läppen än 0,5 bar vid låga hastigheter och så lågt som 0,2 bar i högre hastigheter. Trycket kan då få sådan effekt att läppen kränger,. Då man vet att man har högre tryck än så bör man alltså välja en mer tryckbeständig tätning.

Beroende på varvtal så är materialvalet utav yttersta vikt. Vid förvaring av radialtätningar bör man tänka på att luftfuktigheten inte är för hög då detta dels kan påverka olika elastomerer negativt men också orsaka korrosion på oskyddade plåt/ståldetaljer. De bör heller inte utsättas för damm eller smuts. Skulle man tappa en radialtätning med plåtkärna är den att betrakta som undermålig då den högst sannolikt är deformerad och oval. Detta kommer påverka tätningsförmågan negativt och sannolikt också ökad friktionsvärme.

Häng aldrig en radialtätning på krok eller liknande då detta kan leda till tryckmärke på tätningsläppen. De bör förvaras i horisontalt läge. Utsätt inte tätningen för direkt solljus och undvik lagerhållning i varma miljöer eller i anslutning till elektrisk utrustning såsom motorer då detta frigör ozon som är skadligt för elastomerer. Samtliga radialtätningar är tillverkade enligt DIN 3760. För optimal funktion av tätningen är det viktigt att riktlinjer och toleranser för inbyggnad och liknande följs.

radialtätningar förlust spinner symbol
radialtätningar hastigheter spinner symbol
Kundsupport
Vi finns här för att hjälpa till och om det finns frågor
075-24 24 956
Skicka e-post
Vanliga frågor
+ Hur blir man kund hos er?
+ Kan jag köpa produkter hos er som privatperson?
+ Kan jag se lagersaldo?
+ Vilka priser ser jag?
+ Kan jag se min orderhistorik på er hemsida?

Skicka ett mail

Hittar du inte det du söker eller kan vi hjälpa dig på något annat vis? Fyll i formuläret nedan så återkommer vi så snart vi bara kan!

Vänligen inkludera ett telefonnummer om du önskar bli uppringd.

Tack för ditt meddelande!

Tack för att du kontaktar oss på Internordic! Vi återkommer till dig så snart vi kan.

Hoppsan, något gick fel!

Något verkar ha gått fel. Vänligen kontrollera din information eller försök igen senare.
Behöver du hjälp?
Logo

Cookieinställningar för internordic.com

Cookies hjälper oss förbättra din upplevelse hos oss. Så för att kunna analysera trafiken, hantera inloggningsuppgifter, erbjuda dig personlig information och för att grundläggande funktionalitet ska fungera på webbplatsen behöver vi använda oss av lite cookies.

 

Psst! Vi säljer självklart inte vidare information om dig.

Nödvändiga cookies

Dessa cookies är nödvändiga för att webbplatsen ska fungera och kan inte stängas av i våra system. De används vanligtvis endast som svar på åtgärder som du har gjort i anslutning till en tjänstebegäran, till exempel när du ställer in personliga preferenser, loggar in eller fyller i ett formulär.

Analys och mätning

Dessa cookies tillåter oss att räkna antal besök och trafikkällor så att vi kan mäta och förbättra vår webbplatsprestanda. De hjälper oss att veta vilka sidor som är mer eller mindre populära och hur besökare navigerar runt på webbplatsen. Informationen som dessa cookies samlar in är aggregerad och därför helt anonym. Om du inte tillåter dessa cookies vet vi inte när du har besökt vår webbplats.

Marknadsföring

Dessa cookies kan läggas till av våra partners. De kan använda dem för att skapa en profil av dig, baserad på dina intressen, för att visa dig mer relevant information. De sparar ingen personlig information – endast information om din webbläsare och enhet. Om du inte godkänner dessa cookies, kommer du att få en mer allmän och mindre anpassad användarupplevelse.